한국정밀공학회지


고증폭용 다단 지렛대형 유연 힌지의 최적 설계
Optimal Design of a Multi-Layer Lever Type Flexure Hinge for High Magnification
미세변위를 고증폭하기 위한 소형 유연 힌지 기구의 최적설계


안중환/부산대학교


Fig.5 2-layer flexure hinge mechanism; (a) structure (b) free body diagram of lever 1 and 2


Fig. 8 Input displacement/force vs. number of hinge layers


Fig. 10 FEM structural analysis of 2-layer flexure hinge with lever height of 14mm


Fig. 10 FEM simulated displacement of notches and levers of 2-layer flexure hinge


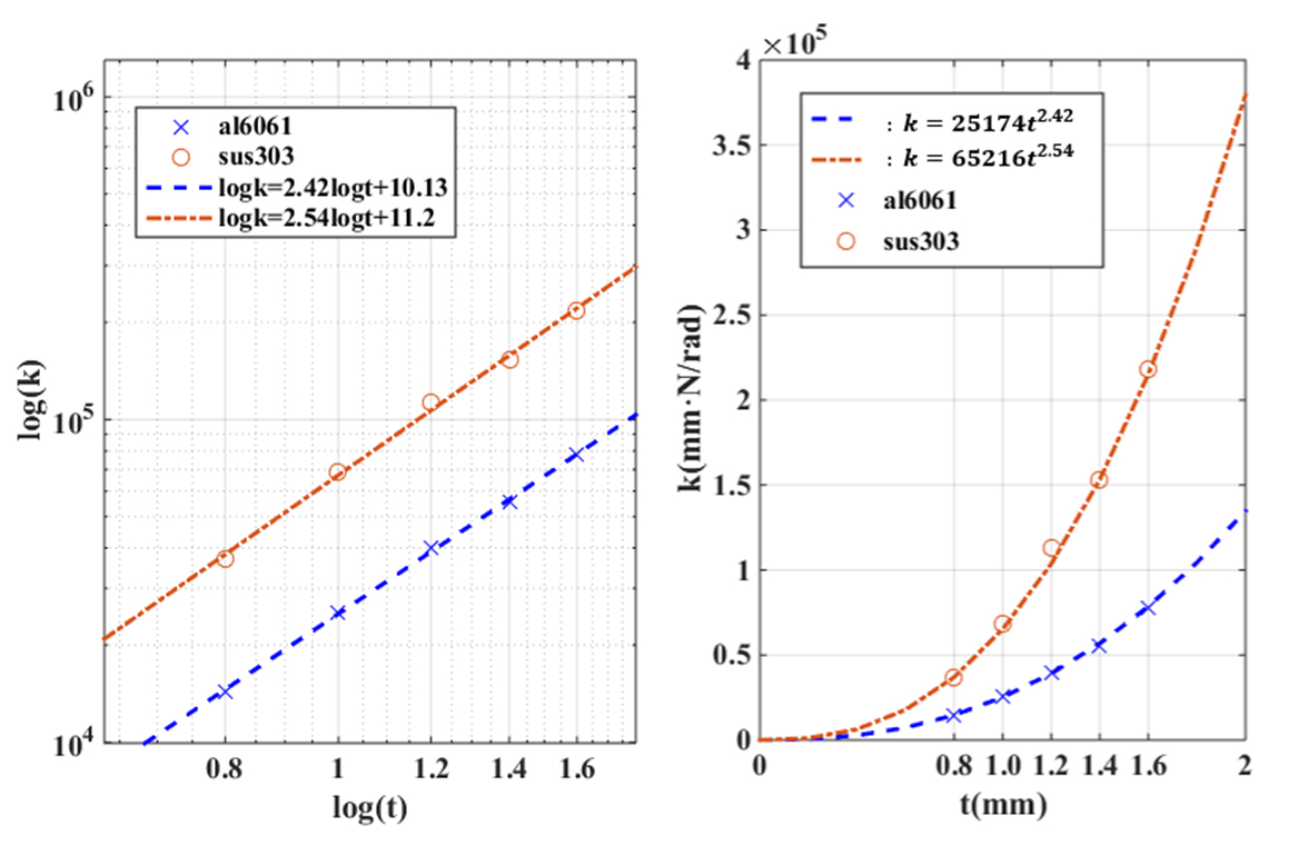
Fig. 4 Regression analysis of relationship between rotational stiffness and notch thickness


Fig. 7 Stress distribution in the cross section of a notch




  • 1) 고증폭용 다단 힌지
    보통 PZT 구동기의 변위는 10~20um정도 이하로 작은데 이를 좁은 공간에서 50~100 배로 증폭하여 큰 변위를 출력할 수 있는 다단(Multi-layer) 유연 힌지가 필요하지만, 몇 단으로 하는 게 최적인가에 대한 연구가 거의 없어서 본 연구에서 단 수에 따라 입력변위, 출력변위, 입력하중 등이 어떻게 변하는지 그 특성을 조사하였다.

  • 2) 2단 유연 힌지
    하중은 단 증가에 따라 거의 비례적으로 증가하여 변위 손실도 비례하므로 출력 변위 측면에서 2단이 가장 좋다.

  • 3) PZT 최대 지지력 제한
    최종단의 노치 변형이 탄성 범위를 넘어서지 않는 최대변형에서 1단 지렛대의 입력점에 필요한 변위와 하중이 PZT의 최대 변위와 최대 지지력(Blocking Force)보다 작아야 하고, 하중에 의한 PZT의 변위 손실을 고려하면 최대 지지력의 50%보다 작아야 한다.

  • 4) 64배 증폭 출력변위
    2단 유연 힌지의 FEM 구조해석 결과 최종 출력 변위가 664 μm로서 설계 때 예상했던 704 μm에 비해 10% 정도 작았다.