Antibody-Based Ticagrelor Reversal Agent in Healthy Volunteers

티카그렐러의 항혈소판효과를 응급으로 역전 (Reversal)시키는 주사제 개발에 성공해...
김원/경희의대

배경

티카그렐러는 PLATO 연구등에서 강한 혈소판 억제효과로 ACS 환자에서 심혈관사고 감소효과가 입증된 약물이다. 그러나, 급성 출혈시에 약제의 효과를 되돌릴 치료법이 없다.

방법

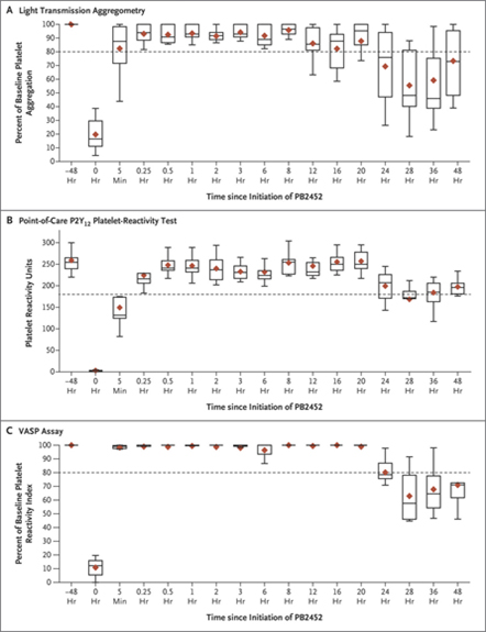
건강한 자원자 64명을 대상으로 티카그렐러의 reversal 약물인 PB2452 주사요법과 가짜약의 효과를 비교한 1상 연구이다. 혈소판 억제효과는 light transmission aggregometry ,P2Y12 platelet-reactivity test 및 vasodilator-stimulated phosphoprotein assay로 평가하였다.

주요결과

티카그렐러 치료 48시간 후에 혈소판 응집의 80%의 활성이 억제되었다.
PB2452 주사 (8, 12, or 16 시간) 후 혈소판 활성은 유의하게 증가되었다. 티카그렐러 활성 역전 즉, 혈소판 활성 증가는 PB2452 주사 5분이내에 관찰되었고, 20시간 이상 지속되었다.(Fig 1)
유의한 약물 부작용은 관찰되지 않았다.

임상적 함의

건강인 대상 연구에서 PB2452 주사는 빠른 시간안에 유의한 부작용없이 티카그렐러 항혈소판 효과를 역전시켰다. 우리나라에서 실제 임상에서 사용될 때까지 많은 시간이 소요될 것이며, 역전제가 있다고 임상에서 약제관련 출혈이 줄어들지는 않을 것이라는 우려, 또 높은 가격 책정등이 임상에서 전면적인 사용에 대한 걸림돌이 될 수 있겠다. 그러나, 혈전 합병증의 고위험 환자 즉, STEMI 포함 ACS, 신기능 저하 PCI 환자, 다혈관 질환 동반 당뇨 환자, 매우 긴(>60mm), 여러개의 중첩 스텐트, 분지부 병변에 다발성 스텐트, 좌주간부 스텐트 등 강력한 항혈소판제재인 티카그렐러 사용이 필요한 환자에서 주요출혈의 염려를 다소나마 덜게되어 중재의사에게는 기쁜 소식이 아닐수 없다.

참고 문헌

Bhatt dl, et al. Antibody-Based Ticagrelor Reversal Agent in Healthy Volunteers. NEJM. 2019.
Fig 1. Normalization of Platelet Function after Ticagrelor Reversal.